
Analisa prinsip kerja dari LPF -40 db berdasarkan tegangan input, ouput, frekuensi cutt-of, dan gelombang hasil percobaan
Jawab :
Prinsip kerja dari Low-Pass Filter (LPF) berdasarkan tegangan input, tegangan output, frekuensi cutoff (Fc), dan hasil gelombang dari percobaan.
-Tegangan Input (Vin):
Tegangan input (Vin) adalah sinyal yang akan di-filter oleh LPF. Sinyal ini mungkin terdiri dari berbagai frekuensi, tetapi LPF akan memungkinkan sinyal dengan frekuensi rendah untuk melewati.
-Tegangan Output (Vout):
Tegangan output adalah sinyal keluaran dari LPF setelah proses penyaringan. Prinsip kerja LPF adalah untuk melewati komponen frekuensi rendah dari sinyal input dengan amplitudo yang hampir sama dengan masukan, sementara komponen frekuensi tinggi akan dihilangkan atau diattenuasi. Sebagai hasilnya, Vout akan memiliki komponen frekuensi rendah yang dominan.
-Frekuensi Cut off (Fc):
Frekuensi cutoff (Fc) adalah frekuensi pada titik di mana respons LPF mulai mengurangi amplitudo sinyal secara signifikan. Di bawah Fc, sinyal melewati LPF dengan sedikit penurunan amplitudo, sementara di atas Fc, amplitudo sinyal akan mulai turun secara dramatis. Fc adalah parameter yang dapat disesuaikan dalam desain LPF dan menentukan batasan frekuensi sinyal yang akan diteruskan atau diblokir oleh LPF.
-Gelombang Hasil Percobaan:
Hasil gelombang dari percobaan LPF akan menunjukkan bagaimana sinyal masukan berubah setelah melewati LPF. Dalam grafik gelombang hasil percobaan, kita akan melihat bahwa jika sinyal input memiliki frekuensi di bawah Fc, maka sinyal output akan hampir identik dengan input, dengan sedikit penurunan amplitudo karena kehilangan energi selama proses filter. Namun, jika sinyal input memiliki frekuensi di atas Fc, maka sinyal output akan mengalami penurunan amplitudo yang signifikan, yang semakin membesar seiring dengan kenaikan frekuensi.
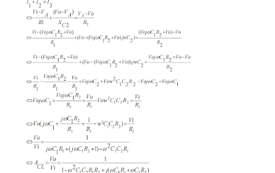
DATA PERHITUNGAN:
- Gambar Rangkaian LPF -40dB [klik]
- Video Percobaan LPF -40dB [klik]
- Video Penjelasan LPF -40dB [klik]
- Download Datasheet Resistor [klik]
- Download Datasheet kapasitor[klik]
- Download Datasheet Opamp 741 [klik]
- Download Datasheet Vsine [klik]
- Download Datasheet multimer [klik]
- Download Datasheet Osiloskop [klik]











Tidak ada komentar:
Posting Komentar